常规以及特种电线电缆定制,国标质量保证,价格合理
电线电缆价格咨询电话:0550-7778262  15385509815
联系我们
电话:0550-7778262
手机:(0)15385509815
邮箱:442312308@qq.com
地址: 安徽天长经济开发区

地面辐射供暖技术规程JGJ142-2004

[当前栏目:技术支持]      [发布日期:2015-10-04]
中华人民共和国行业标准
地面辐射供暖技术规程JGJ142 -2004
地板采暖施工标准
(一)、地面采暖施工:
1、要求装修公司认真做好找平层,表面应保证平整无杂物。
2、保温隔热层要求隔热材料要铺设均匀平整,达到(25/m3)密实度要求。
3、辐射防腐层材料(要用无纺布铝箔纸),铺设要平整,保证搭接长度。
4、安装铺设地热管时,要求使用管卡固定地热管,保证地热管路的间距,地热管弯曲弧度不得小于10D。
5、最后铺设钢丝网,固定卡要安装牢固,移位不超过30mm。
(二)、工程检查与验收:
1、采暖工程施工结束,公司要组织专人自检。
2、在自检的基础上,邀请甲方代表进行检查验收。
3、在甲方监督的情况下,对系统进行水压测试,测试压力为6.5 mPa,以15分钟压力下降不超过0.05 mPa为合格。
4、做好隐蔽工程测试验收记录,所有工程签署文件归档。
(三)土建工程的施工标准:
1、采用当地425#标号水泥混凝土覆盖层, 强度不小于C15。
2、添加覆盖层,覆盖层的厚度不宜小于30mm-40mm为宜。
3、房间面积超过40 m2或长度超过6 m时,应设置伸缩缝。
4、对装饰公司需要钉钉子的部位,要用红色油漆标记在地面,便于地热管安装避开障碍。
5、工程竣工后,彻底清理好现场,拆除施工现场的地上的一切临时设施。
地热采暖系统施工流程:
施工前期准备    工程材料进场报验   铺设保温板和铝箔纸
铺设和加固钢网   交联管环路铺设    安装系统分水器
供热系统安装    水(气)压力测式   向甲方交接工程
1、一般规定
(1)低温热水地面辐射供暖系统的供、回水温度应由计算确定,供水温度不应大于60℃。
民用建筑供水温度宜采用35~50℃,供回水温差不宜大于10℃。
(2)地表面平均温度计算值应符合表3.1.2的规定。
表3.1.2地表面平均温度(℃)
区域特征
适宜范围
最高限值
人员经常停留区
24-26
28
人员短期停留区
28-30
32
无人停留区
35-40
42
(3)低温热水地面辐射供暖系统的工作压力,不应大于0.8Mpa;当建筑物高度超过50m时,宜竖向分区设置。
(4)无论采用何种热源,低温热水地面辐射供暖热媒的温度、流量和资用压差等参数,都应同热源系统相匹配;热源系统应设置相应的控制装置。
(5)地面辐射供暖工程施工图设计文件的内容和深度,应符合下列要求:
◆ 施工图设计文件应以施工图纸为主,包括图纸目录、设计说明、加热管或发热电缆平面布置图、温控装置布置图及分水器、集水器、地面构造示意图等内容。
◆设计说明中应详细说明供暖室内外计算温度、热源及热媒参数或配电方案及电力负荷、加热管或发热电缆技术数据及规格;标明使用的具体条件如工作温度、工作压力或工作电压以及绝热材料的导热系数、密度、规格及厚度等。
◆ 平面图中应绘出加热管或发热电缆的具体布置形式,标明敷设间距、加热管的管径、计算长度和伸缩缝要求等。
(6)采用发热电缆地面辐射供暖方式时,发热电缆的线功率不宜大于20W/m。
2、地面构造
(1) 与土壤相邻的地面,必须设绝热层,且绝热层下部必须设置防潮层。直接与室外空气相邻的楼板,必须设绝热层。
(2)地面构造由楼板或与土壤相邻的地面、绝热层、加热管、填充层、找平层和面层组成,并应符合下列规定:
◆ 当工程允许地面按双向散热进行设计时,各楼层间的楼板上部可不设绝热层。
◆ 对卫生间、洗衣间、浴室和游泳馆等潮湿房间,在填充层上部应设置隔离层。
(3)面层宜采用热阻小于0.05m2?K/W的材料。
(4)当面层采用带龙骨的架空木地板时,加热管或发热电缆应敷设在木地板与龙骨之间的绝热层上,可不设置豆石混凝土填充层;发热电缆的线功率不宜大于10W/m;绝热层与地板间净空不宜小于30mm。
(5)地面辐射供暖系统绝热层采用聚苯乙烯泡沫塑料板时,其厚度不应小于表3.2.5规定值;采用其他绝热材料时,可根据热阻相当的原则确定厚度。
表2 聚苯乙烯泡沫塑料板绝热层厚度(mm)
楼层之间楼板上的绝热层
20
与土壤或不采暖房间相邻的地板上的绝热层
30
与室外空气相邻的地板上的绝热层
40
 (6)填充层的材料宜采用C15豆石混凝土,豆石粒径宜为5-12mm。加热管的填充层厚度不宜小于50mm,发热电缆的填充层厚度不宜小于35mm。当地面荷载大于20kN/m2时,应会同结构设计人员采取加固措施。
3、热负荷的计算
(1) 地面辐射供暖系统热负荷,应按现行国家标准《采暖通风及空气调节设计规范》GB50019的有关规定进行计算。
(2) 计算全面地面辐射供暖系统的热负荷时,室内计算温度的取值应比对流采暖系统的室内计算温度低2℃,或取对流采暖系统计算总热负荷的90%~95%。
(3) 局部地面辐射供暖系统的热负荷,可按整个房间全面辐射供暖所算得的热负荷乘以该区域面积与所在房间面积的比值和表3.3.3中所规定的附加系数确定。
 表3.3.3局部辐射供暖系统热负荷的附加系数
供暖区面积与房间总面积比值
0.55
0.40
0.25
附加系数
1.30
1.35
1.50
 (4) 进深大于6m的房间,宜以距外墙6m为界分区,分别计算热负荷和进行管线布置。
(5) 敷设加热管或者发热电缆的建筑地面,不应计算地面的传热损失。
(6)计算地面辐射供暖系统热负荷时,可不考虑高度附加。
(7) 分户热计量的地面辐射供暖系统的热负荷计算,应考虑间歇供暖和户间传热等因素。
 4、地面散热量的计算
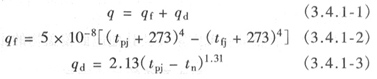
(1) 单位地面面积的散热量应按下列公式计算:
 式中q——单位地面面积的散热量(W/m2);
qf——单位地面面积辐射传热量(W/m2);
qd——单位地面面积对流传热量(W/m2);
tqj——地表面平均温度(℃);
tfj——室内非加热表面的面积加权平均温度(℃);
tn——室内计算温度(℃)。
(2) 单位地面面积的散热量和向下传热损失,均应通过计算确定。当加热管为PE-X管或PB管时,单位地面面积散热量及向下传热损失,可按本规程附录A确定。
(3) 确定地面所需的散热量时,应将本章第3.3节计算的房间热负荷扣除来自上层地板向下的传热损失。
(4) 单位地面面积所需的散热量应按下列公式计算:
式中qx——单位地面面积所需的散热量(W/m2);
 Q——房间所需的地面散热量(W);
F——敷设加热管或发热电缆的地面面积(m2)
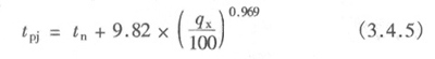
(5)确定地面散热量时,应校核地表面平均温度,确保其不高于本规程表3.1.2的最高限值;否则应改善建筑热工性能或设置其他辅助供暖设备,减少地面辐射供暖系统负担的热负荷。地表面平均温度宜按下列公式计算:
 式中tpj——地表面平均温度(℃);
tn——室内计算温度(℃);
qx——单位地面面积所需散热量(W/m2).
(6) 热媒的供热量,应包括地面向上的散热量和向下层或向土壤的传热损失。
(7)地面散热量应考虑家具及其他地面覆盖物的影响。
5、低温热水系统的加热管系统设计
(1) 在住宅建筑中,低温热水地面辐射供暖系统应按户划分系统,配置分水器、集水器;户内的各主要房间,宜分环路布置加热管。
(2) 连接在同一分水器、集水器上的同一管径的各环路,其加热管的长度宜接近,并不宜超过120m。
(3) 加热管的布置宜采用回折型(旋转型)或平行型(直列型)。
(4) 加热管的敷设管间距,应根据地面散热量、室内计算温度、平均水温及地面传热热阻等通过计算确定。也可按本规程附录A确定。
(5) 加热管壁厚应按供暖系统实际工作条件确定,可按照本规程附录B的规定选择。
(6) 加热管内水的流速不宜小于0.25m/s。
(7) 地面的固定设备和卫生洁具下,不应布置加热管。
6、低温热水系统的分水器、集水器及附件设计
(1) 每个环路加热管的进、出水口,应分别与分水器、集水器相连接。分水器、集水器内径不应小于总供、回水管内径,且分水器、集水器最大断面流速不宜大于0.8m/s.每个分水器、集水器分支环路不宜多于8路。每个分支环路供回水管上均应设置可关断阀门。
(2) 在分水器之前的供水连接管道上,顺水流方向应安装阀门、过滤器、阀门及泄水管。在集水器之后的回水连接管上,应安装泄水管并加装平衡阀或其他可关断调节阀。对有热计量要求的系统应设置热计量装置。
(3) 在分水器的总进水管与集水器的总出水管之间宜设置旁通管,旁通管上应设置阀门。
(4)分水器、集水器上均应设置手动或自动排气阀。
7、低温热水系统的加热管水力计算
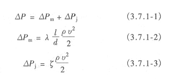
(1) 加热管的压力损失,可按下列公式计算:
式中 △P——加热管的压力损失(Pa);
△Pm——摩擦压力损失(Pa);
△Pj——局部压力损失(Pa);
λ——摩擦阻力系数;
d——管道内径(m);
l——管道长度(m);
ρ——水的密度(kg/m3);
ν——水的流速(m/s);
ζ——局部阻力系数。
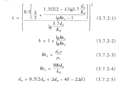
(2)铝塑复合管及塑料管的摩擦阻力系数,可近似统一按下列公式计算:
式中 λ——摩擦阻力系数;
b——水的流动相似系数
Res——实际雷诺数;
ν——水的流速(m/s);
μt——与温度有关的运动黏度(m2/s);
Rez——阻力平方区的临界雷诺数;
kd——管子的当量粗糙度(m),对铝塑复合管及塑料管,kd=1×10-5(m);
dn——管子的计算内径(m);
dw——管外径(m);
Δdw——管外径允许误差(m);
δ——管壁厚(m);
Δδ——管壁厚允许误差(m)。
(3) 塑料管及铝塑复合管单位摩擦压力损失可按本规程附录C中表C.0.1、表C.0.2选用。
(4) 塑料管及铝塑复合管的局部压力损失应通过计算确定,其局部阻力系数可按本规程附录C中表C.0.3选用。
(5) 每套分水器、集水器环路的总压力损失不宜大于30kPa。
8、低温热水系统的热计量和室温控制
(1) 新建住宅低温热水地面辐射供暖系统,应设置分户热计量和温度控制装置。
(2) 分户热计量的低温热水地面辐射供暖系统,应符合下列要求:
★ 应采用共用立管的分户独立系统形式。
★ 热量表前应设置过滤器。
★ 供暖系统的水质应符合现行国家标准《工业锅炉水质》GB1576的规定。
★ 共用立管和入户装置,宜设置在管道井内;管道井宜邻楼梯间或户外公共空间。
★ 每一对共用立管在每层连接的户数不宜超过3户。
(3) 低温热水地面辐射供暖系统室内温度控制,可根据需要选取下列任一种方式:
◆ 在加热管与分水器、集水器的接合处,分路设置调节性能好的阀门,通过手动调节来控制室内温度。
◆ 各个房间的加热管局部沿墙槽抬高至1.4m,在加热管上装置自力式恒温控制阀,控制室温保持恒定。
◆ 在加热管与分水器、集水器的接合处,分路设置远传型自力式或电动式恒温控制阀,通过各房间内的温控器控制相应回路上的调节阀,控制室内温度保持恒定。调节阀也可内置于集水器中。采用电动控制时,房间温控器与分水器、集水器之间应预埋电线。
9、发热电缆系统的设计
(1) 发热电缆布线间距应根据其线性功率和单位面积安装功率,按下式确定:
式中S——发热电缆布线间距(mm);
px——发热电缆线性功率(W/m);
q——单位面积安装功率(W/m2).
(2) 在靠近外窗、外墙等局部热负荷较大区域,发热电缆应较密铺设。
(3) 发热电缆热线之间的最大间距不宜超过300mm,且不应小于50mm;距离外墙内表面不得小于100mm。
(4) 发热电缆的布置,可选择采用平行型(直列性)或回折型(旋转形)。
(5) 每个房间宜独立安装一根发热电缆,不同温度要求的房间不宜共用一根发热电缆;每个房间宜通过发热电缆温控器单独控制温度。
(6) 发热电缆温控器的工作电流不得超过其额定电流。
(7) 发热电缆地面辐射供暖系统可采用温控器与接触器等其他控制设备结合的形式实现控制功能,温控器的选用类型应符合以下要求:
☆ 高大空间、浴室、卫生间、游泳池等区域,应采用地温型温控器;
☆ 对需要同时控制室温和限制地表温度的场合应采用双温型温控器
(8) 发热电缆温控器应设置在附近无散热体、周围无遮挡物、不受风直吹、不受阳光直晒、通风干燥、能正确反映室内温度的位置,不宜设在外墙上,设置高度宜距地面1.4m。地温传感器不应被家具等覆盖或遮挡,宜布置在人员经常停留的位置。
(9) 发热电缆温控器的选型,应考虑使用环境的潮湿情况。
(10)发热电缆的布置应考虑地面家具的影响。
(11) 地面的固定设备和卫生洁具下面不应布置发热电缆。
10、发热电缆系统的电气设计
(1) 发热电缆系统的供电方式,宜采用AC220V 供电。当进户回路负载超过12kW时,可采用AC220V/380V三相线四制供电方式,多根发热电缆接入220V/380V 三相系统时应使三相平衡。
(2) 供暖电耗要求单独计费时,发热电缆系统的电气回路宜单独设置。
(3) 配电箱应具备过流保护和漏电保护功能,每个供电回路应设带漏电保护装置的双极开关。
(4) 地温传感器穿线管应选用硬质套管。
(5) 发热电缆地面辐射供暖系统的电气设计应符合国家现行标准《民用建筑电气设计规范》JGJ/T16和《建筑电气工程施工质量验收规范》GB50303中的有关规定。
3.10.6发热电缆的接地线必须与电源的地线连接。

 


电线电缆随机推荐: YJV32 3*150+1*70 钢丝铠装交联电力电缆 硅橡胶耐油、耐温高压电机引接线 0.6/1kV聚氯乙烯绝缘聚氯乙烯护套电力电缆 750V柔性无机绝缘防火电力电缆 UG/UGF6000V高压橡套电缆 船用防水电缆 YVFR,YVFRP丁腈电力软电缆 额定电压6/10KV煤矿用金属屏蔽监视型橡套软电缆 热电偶专用高温线 SC、RC、KX、NX、EX、JX、TX热电偶补偿导线电缆 WDZ-YJE电缆是否有执行标准 耐高低温、高耐油环保阻燃耐火铁路机车电缆 NH-KFF/NH-KFFP耐高温防火控制电缆 FF22-200,ZR-FV22-105耐高温阻燃电力电缆 腊克线FVLP 4.0mm2技术参数 铠装电缆KVV22和铠装电缆YJV22有什么区别
文章标签: